None:
Polyps:
Strongs:

Galois Groups and Finite Fields

There is a great deal to be learned before finite fields may be understood. Many mathematicians think we know very little about them at all. Finite Fields or 'Galois fields' as they are collectively know, are extensions of the Fields Zp described earlier. (In fact the fields Zp are equivalent to Z / pZ, where pZ is the ideal of Z of multiples of P in the integers.) Field extensions are based on polynomials, using the elements of a finite field as coefficients for the terms of the polynomials. The 'x' in the polynomials do not in the usual sense of the construction have a solution, and the 'x' is termed an 'indeterminate'

To make an extension of a field F, we extend it to the ring of all polynomials in 'x' with elements of F as coefficients. Just like the integers have prime numbers, since F is not 'algebraically closed' (That all polynomials can be factored into those of lesser degree like in the complex numbers) There are 'prime like' polynomials called 'irreducibles'. The multiples of these irreducibles form ideals which in a similar fashion to making Z / pZ, we may define a field of polynomials from F[x] / p(x) = F(x) from the ring F[x] of polynomials in x with coefficients in F, and the (maximal) ideal of the irreducible p(x). The degree of the polynomial p(x), the highest power of x in p(x) becomes the degree of extension over F. That is, if p(x) has x7 then if Zp is the subfield, the extension will have p7 elements. Conversely, if a field has p to the n elements and we write this as Gal(p,n) then there is a subfield Gal(p,k) if k divides n. The smallest possible subfield, Zp is called "The prime subfield". To test whether a polynomial is irreducible over a field F in F[x], we test every polynomial of lesser degree than the irreducible to see if the polynomial splits over the field F. Substituting elements of F into p(x) to see if the field solves the equation p(x) = 0 is insufficient, as the polynomial may split into further irreducibles over F. If this is the case, the polynomial is not irreducible over x. The polynomial p(x) can be split into factors over F, and F is called a 'splitting field' of p(x).

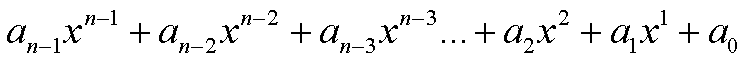
If p(x) is irreducible of degree n, F[x] / p(x) or F(x) then every element of F(x) may be written as a polynomial of the form;

With n terms, all of the a[i] in Zp Addition is simply the adding of the coefficients mod p of like powers of x. Multiplication is a little confusing, but well defined. When multiplying, powers greater than n - 1 will occur. since the ideal is effectively zero in F(x), we do multiplication 'modulo p(x)' thus. any power of x higher than n-1 is dealt with by rearrangement of p(x). p(x) is of the form

So p(x) reduces term higher than degree n into polynomials of lesser degree, and by some effort the product is reduced to an element of f(x). Note that the irreducible is unique up to product by a member of F in its coefficients. (Unique up to a unit).

I have mentioned that the multiplicative group of a finite field is cyclic. That is, every one of it's pn - 1 elements may be written as xm for some element x of ( f(x) , *) (x a 'generator').

The element x in f(x) is a root of the polynomial p(x) = 0 over F. For a polynomial  f of degree n, f has n roots. by permuting these roots, we may choose any root of p(x)  for our x, after which all powers of x are determined. We permute the order of the powers of x in a cyclic fashion, holding the coefficients constant. These permutations, holding the field F constant form a group, the Galois Group of F(x) over F. and is of degree n no matter how large or small F is, as long as the index of F in F(x) , the degree of p(x) over F is n. The fact that these are all equal not only defines the field as "separable" but "perfect." Whilst I was in college, this is the only use of the word "perfect" in any mathematical definition across many subjects. People are amazed at Euler's equation or the class equation in group theory, but it is testament to the beauty of Galois Fields that they are called "Perfect".

The full galois group Gal(f(x)), is actually called Gal( F(x) / Zp ), and is of order n if F(x) has pn elements. Since the order of a subfield divides the order of it's parent, and each permutation hold's some set of elements as coefficients constant, each subfield 'splits' the automorphisms into mappings that hold some subfield constant. The degree of the extension over each subfield, and over it's subfields down the ladder in product make 'n'.
 

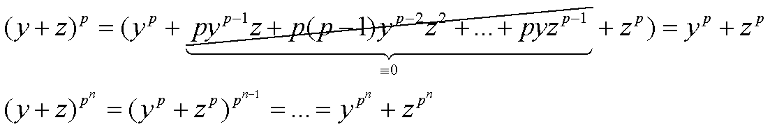
These automorphisms that form elements of the Galois group have a beautiful solution. For any two elements of the field f(x), y and z;

(The elements crossed out are multiples of p and congruent to zero.)

So the map of raising an element of Zp to the power of p is a homomorphism, and therefore it must be an automorphism in the Galois group. Every element in a subfield of order equal to that of Gal(p , k) (p to the k elements) is held fixed by the raising to the power of it's order. This morphism is called the "Frobenius automorphism" which is clearly cyclic. Those subfields of greater order are permuted, but held fixed by the appropriate repetition of raising to the pth power.. each degree of extension corresponds to a like number of applications of the Frobenius map. t is easier to consider decreasing order subfields than increasing, if the fact that k divides n for a subfield Gal(p , k) of Gal(p , n) is taken into consideration.


Continue To Next Page

Return To Section Start

Return To Previous Page


'